Guardian: Oral Care Red & NIR Light Therapy Device | Patent-Pending Dual LEDs for Health & Hygiene
The Guardian is the first oral care red light therapy device of its kind, with patent-pending technology that implements dual LEDs, both red & near-infrared, in your mouth.
Why is oral health so important?
The oral cavity has the second largest and diverse microbiota after the gut harboring over 700 species of bacteria – second only to the gut. The progression of health or regression toward disease is critically influenced by the microbiota. It nurtures numerous microorganisms which include bacteria, fungi, viruses and protozoa. The mouth is an exceptionally complex habitat where microbes colonize the hard surfaces of the teeth and the soft tissues of the oral mucosa. In addition to being the initiation point of digestion, the oral microbiome is crucial in maintaining both oral and systemic health.
Oral microbiome is crucial to health as it can cause both oral and systemic diseases. It rests within biofilms throughout the oral cavity and forms an ecosystem that maintains health in a state of homeostasis. However, particular imbalances in this state of equilibrium allow pathogens to develop and cause disease. This disruption of the oral microbiome leads to dysbiosis -- or an imbalance in the microbial community that is associated with disease.
To learn even more about how you can improve your health via your oral microbiome, check out The Dental Diet, by Dr. Steven Lin or Heal Your Oral Microbiome, by Cass Nelson-Dooley
Oral health & red light therapy
There is scientific literature on red light therapy and oral health that is very robust, indicating a multitude of uses that includes the following:
- Gum health/gum pain
- Infections & inflammation
- Post-surgical healing & recovery
- Periodontal wound healing
- Gingivitis
- Cold sores & herpes
- Oral mucositis
- And MORE!
Not only can red light therapy help you heal and recover from the aforementioned conditions, but it can also help you maintain optimal oral hygiene by modulating inflammation, improving circulation and boosting the health and function of the mitochondria. Learn more about red light therapy and its impact on oral health by checking out the Learn page here!
Includes
Guardian device
USB magnetic charging cord
Storage case
User manual
Guardian Specs
Wavelength: 630nm (red light) & 850nm (NIR light)
Light irradiance: 0.65 mW/cm² @ 0"
Lens Beam Angle: 120°
Automated 16-minute timer
Magnetic USB charging (Full charge lasts over 2.5 hours)
Flexible BPA-free silicone mouthpiece
Waterproof design
**ONCE THE GUARDIAN HAS BEEN USED, IT CANNOT BE RETURNED DUE TO HYGIENIC, SANITARY REASONS**
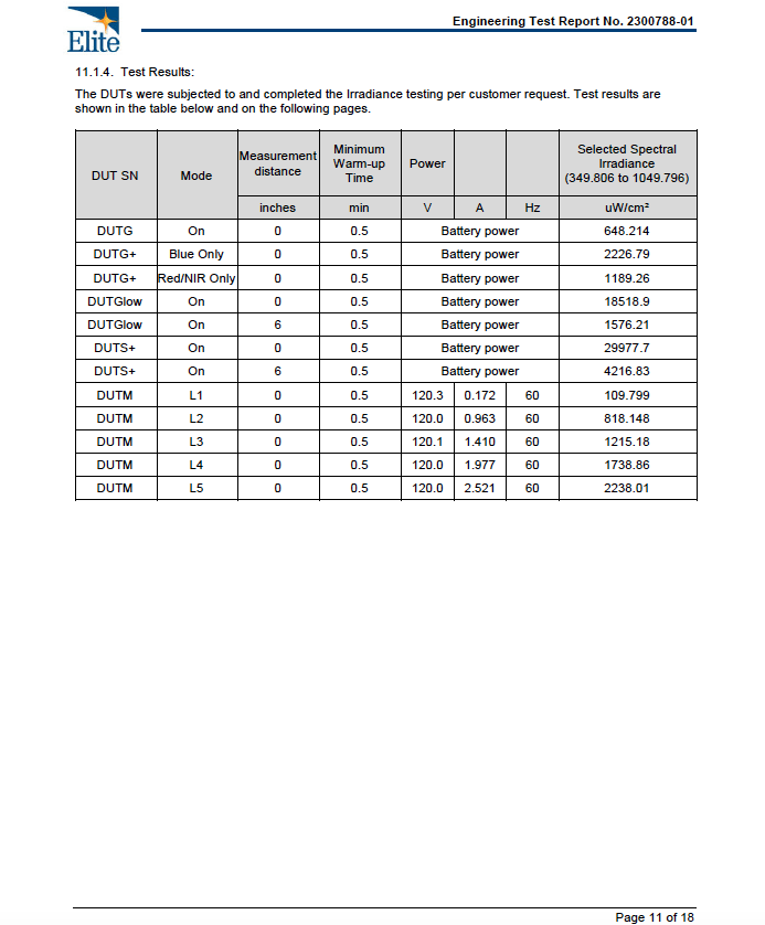
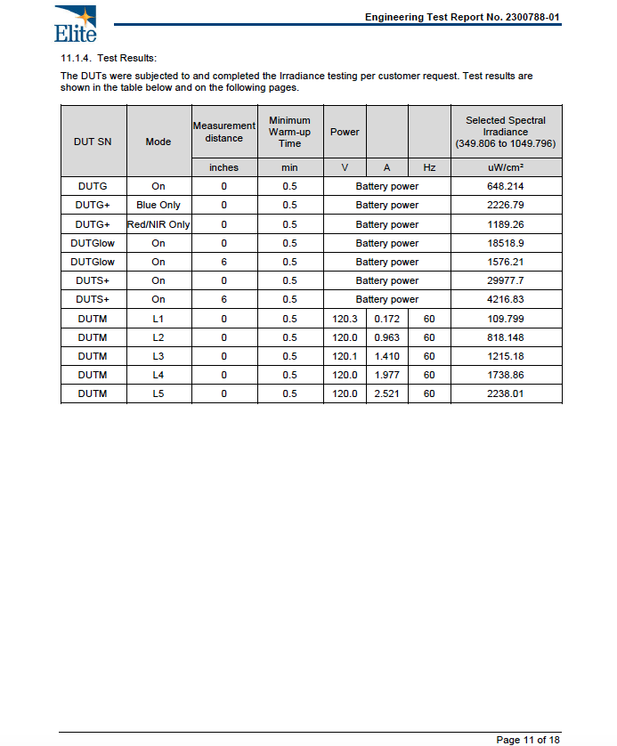
Third Party Test Results





